Technical data and guidelines for the choice

The data in the table refer to the handling of materials with a stiffness such as to keep flat the contact surface with the rollers. Otherwise the values may be lower.
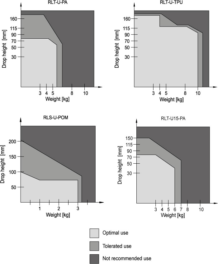
# RLT-U-PA
load values produce an elastic deformation such as to prevent the regular rotation of the rollers, which come into contact with the ribs of the aluminium profile. At these load values however, no permanent deformation of the material occurs.
# RLT-U-TPU
load values higher than those reported in the table produce a deformation such as to prevent the rotation of the rollers, that come into contact with the ribs of the aluminium profile. Loads higher than 100N for a single roller cause a reduction in the rolling resistance.
# RLT-U15-PA
the load values exceeding the ones indicated in the table determine a reduction in the rolling resistance. However, no significant permanent deformation of the material occurs to these load values.
# RLS-U-POM
Load value that limits the smoothness of the balls inside its support, at low sliding speeds. At this value of load, however, no permanent deformation of the material occurs. For higher sliding speeds, it is necessary to refer to the chart at the side.

LOAD CAPACITY
load concentrated in the centre, roller track supported in two points.

Impact strength

* Trademark application
-
Generals
-
1. Plastic materials
- 1.1 Mechanical strength
- 1.2 Thermal resistance
- 1.3 Strength and surface hardness
- 1.4 Resistance to chemical agents
- 1.5 Resistance to atmospheric agents and uv rays
- 1.6 Flame resistance
- 1.7 Electrical properties
- 1.8 Surface finish and cleanability
- 1.9 Compliance with international standards
- 1.10 Competence of Elesa+Ganter technical department
- 2. Metal materials
- 3. Other materials
- 4. Machining tolerances
- 5. Fixed handles
- 6. Assembly measures
- 7. Special executions
- 8. Colours
- 9. Test values
-
10. Technical tables
- 10.1 Conversion tables
- 10.2 DIN 79 Square holes and shafts
- 10.3 DIN 6885 Keyways
- 10.4 GN 110 and GN 110.1 Transversal holes
- 10.5 DIN 13 ISO Metric threads
- 10.6 DIN 228 Cylindrical GAS-BSP threads
- 10.7 DIN EN ISO 898-1 | DIN EN 20898-2 Strenght values
- 10.8 DIN ISO 286 ISO-Fundamental tolerances
- 10.9 IP Protection Classification
- 10.10.1 PFB | PRB Thread locking with jamming action Polyamide patch coating/ Polyamide complete coating
- 10.10.2 MVK Thread locking gluing Micro encapsulation precote 80 (red)
- 10.11 Stainless Steel characteristics
- 10.12 Surface treatments
- 10.13 Carbon steel, zinc alloys, aluminium, brass characteristics
- 10.14.1 Duroplast, elastomer, technopolymer and rubber characteristics
- 10.14.2 Duroplast, elastomer, technopolymer and rubber characteristics
- 10.14.3 Duroplast, elastomer, technopolymer and rubber characteristics
- 10.15 Load ratings U-Handles
- 10.16 Load ratings metal hinges
- 10.17 Strength of indexing plungers
- 10.18 Assembly sets GN 965 and GN 968
- 11. Vibration-damping elements
-
1. Plastic materials
- Hygienic design
- Operating Elements
- Clamping knobs
- Control elements
- Rotary controls
- Indexing elements
- Joints
- Transmission elements
- Levelling elements
- Hinges
- Latches
- Toggle, power and hook clamps
- Accessories for hydraulic systems
- Tube clamp connectors
- Castors and wheels
- Magnets
- Conveyor components
- Linear slides
- Vibration mounts
- Vacuum components
- Elastomer springs